Home »
Python »
Python Programs
How to solve an equation using a NumPy numerical solver?
Given an equation, we have to solve it using Python's numerical solver in NumPy.
By Pranit Sharma Last updated : December 27, 2023
Problem statement
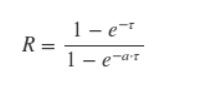
Suppose that we are given a mathematical equation:
R - ((1.0 - np.exp(-tau))/(1.0 - np.exp(-a*tau))) = 0, and we need to solve this equation for tau.
The above can be mathematically represented as:
Solving an equation using a NumPy numerical solver
We can solve this equation using scipy. SciPy's fsolve() function searches for a point at which a given expression equals zero (a "zero" or "root" of the expression). We just need to provide fsolve() with an initial guess that is "near" your desired solution. A good way to find such an initial guess is to just plot the expression and look for the zero crossing.
Let us understand with the help of an example,
Python code to solve an equation using a NumPy numerical solver
# Import numpy
import numpy as np
# Import fsolve
from scipy.optimize import fsolve
# Defininig the expression
a = 0.5
R = 1.6
fun = lambda tau : R - ((1.0 - np.exp(-tau))/(1.0 - np.exp(-a*tau)))
# tau
tau = np.linspace(-0.5, 1.5, 201)
# Initial guess
guess = 0.5
# Solving the equation
res = fsolve(fun, guess)
print("Result:\n %f" % res)
Output
In this example, we have used the following Python basic topics that you should learn:
Python NumPy Programs »
Advertisement
Advertisement