×

Python Tutorial

Python Basics

Python I/O

Python Operators

Python Conditions & Controls

Python Functions

Python Strings

Python Modules

Python Lists

Python OOPs

Python Arrays

Python Dictionary

Python Sets

Python Tuples

Python Exception Handling

Python NumPy

Python Pandas

Python File Handling

Python WebSocket

Python GUI Programming

Python Image Processing

Python Miscellaneous

Python Practice

Python Programs

How to use corr() to get the correlation between two columns?

By using the corr() method, learn how to get the correlation between two columns? By Pranit Sharma Last updated : September 22, 2023

Pandas is a special tool that allows us to perform complex manipulations of data effectively and efficiently. Inside pandas, we mostly deal with a dataset in the form of DataFrame. DataFrames are 2-dimensional data structures in pandas. DataFrames consist of rows, columns, and the data.

Use of corr() to get the correlation between two columns

There is always some kind of similarity/difference between all the values of all the columns in pandas DataFrame. This similarity or difference is known as the correlation of values in a DataFrame. To find the correlation in pandas, we use pandas.DataFrame.corr() method in pandas.

The DataFrame.corr() method is used to find the pair-wise correlation (similarities / differences) of the column values. The important point is if there is any null value present in any column, DataFrame.corr() automatically excludes it and also the non-numeric data is ignored.

Syntax:

DataFrame.corr(
method='pearson', 
min_periods=1
)
Note

To work with pandas, we need to import pandas package first, below is the syntax:

import pandas as pd

Let us understand with the help of an example,

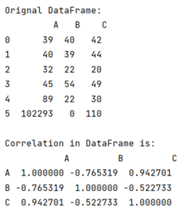
Python program to get the correlation between two columns

# Importing pandas package
import pandas as pd

# Importing seaborn package
import seaborn as sn

# Import matplotlib package
import matplotlib.pyplot as plt

# Create a DataFrame
df = pd.DataFrame({
    'A':[39,40,32,45,89,102293],
    'B':[40,39,22,54,22,0],
    'C':[42,44,20,49,30,110]
})

# Display original DataFrame
print("Original DataFrame:\n",df,"\n")

# Finding correlation
result = df.corr(method ='pearson')

# Display result
print("Correlation in DataFrame is:\n",result,"\n")

Output

The output of the above program is:

Example: Correlation between two columns

Python Pandas Programs »

Advertisement
Advertisement

Comments and Discussions!

Load comments ↻


Advertisement
Advertisement
Advertisement

Copyright © 2025 www.includehelp.com. All rights reserved.