×

Python Tutorial

Python Basics

Python I/O

Python Operators

Python Conditions & Controls

Python Functions

Python Strings

Python Modules

Python Lists

Python OOPs

Python Arrays

Python Dictionary

Python Sets

Python Tuples

Python Exception Handling

Python NumPy

Python Pandas

Python File Handling

Python WebSocket

Python GUI Programming

Python Image Processing

Python Miscellaneous

Python Practice

Python Programs

numpy.matmul() for Matrix Multiplication | Linear Algebra using Python

Linear Algebra using Python | numpy.matmul() for Matrix Multiplication: Here, we are going to learn about the numpy.matmul() for matrix multiplication in Python?
Submitted by Anuj Singh, on May 22, 2020

Prerequisite: Linear Algebra | Defining a Matrix

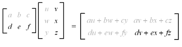
Numpy is the library of function that helps to construct or manipulate matrices and vectors. The function numpy.matmul() is a function used for matrix multiplication. The example of matrix multiplication is shown in the figure.

There is a fundamental rule followed by every matrix multiplication, If the matrix A (with dimension MxN) is multiplied by matrix B (with dimensions NxP) then the resultant matrix (AxB or AB) has dimension MxP. In other words, the number of columns in matrix A and the number of rows in matrix B must be equal.

NumPy

Syntax:

    matrix_Multiplication = numpy.matmul(Matrix_1, Matrix_2)

Input parameters: Matrix_1, Matrix_2 the two matrices (following the above-mentioned rule).

Python code to demonstrate example of numpy.matmul() for matrix multiplication

# Linear Algebra Learning Sequence 
# Matrix Multiplication using 
# function in numpy library

import numpy as np

# Defining two matrices
V1 = np.array([[1,2,3],[2,3,5],[3,6,8],[323,623,823]])
V2 = np.array([[965,2413,78],[223,356,500],[312,66,78]])

print("--Matrix A--\n", V1)
print("\n\n--Matrix B--\n", V2)

# using function np.matmul( )
AB = np.matmul(V1, V2)

print("\n\n--Matrix Multiplication AB-- \n", AB)

Output:

--Matrix A--
 [[  1   2   3]
 [  2   3   5]
 [  3   6   8]
 [323 623 823]]


--Matrix B--
 [[ 965 2413   78]
 [ 223  356  500]
 [ 312   66   78]]


--Matrix Multiplication AB-- 
 [[   2347    3323    1312]
 [   4159    6224    2046]
 [   6729    9903    3858]
 [ 707400 1055505  400888]]
Advertisement
Advertisement


Comments and Discussions!

Load comments ↻


Advertisement
Advertisement
Advertisement

Copyright © 2025 www.includehelp.com. All rights reserved.