×

Python Tutorial

Python Basics

Python I/O

Python Operators

Python Conditions & Controls

Python Functions

Python Strings

Python Modules

Python Lists

Python OOPs

Python Arrays

Python Dictionary

Python Sets

Python Tuples

Python Exception Handling

Python NumPy

Python Pandas

Python File Handling

Python WebSocket

Python GUI Programming

Python Image Processing

Python Miscellaneous

Python Practice

Python Programs

Python | Without Fill Head Arrow in Plots

Here, we are going to learn about the without fill head arrow in plots and its Python implementation.
Submitted by Anuj Singh, on August 04, 2020

In some cases, we need a blank headed arrow or arrowhead without fill. In matplotlib, we are given this feature with fill head and in this article, we are going to present many examples such as, without fill head with different overhang and without fill hatched head.

Illustration:

without fill head arrow 1

without fill head arrow 2

without fill head arrow 3

Python code for without fill head arrow in plots

import matplotlib.pyplot as plt

plt.figure()
plt.arrow(0.05, 0.2, 0.5, 0, linewidth=3.0,  
          head_width=0.15, head_length=0.25, fill=False) 
plt.show()


###############################################################
###############################################################


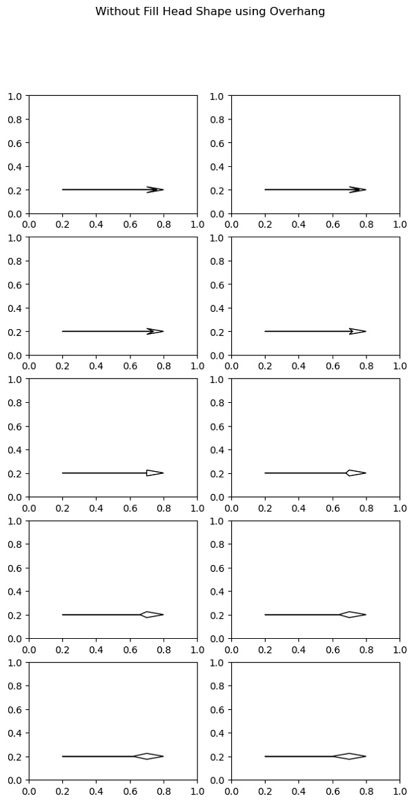
plt.figure(figsize=(7,13))
plt.subplot(521)
plt.arrow(0.2, 0.2, 0.5, 0, overhang=0.6, fill=False, head_width=0.05, head_length=0.1)

plt.subplot(522)
plt.arrow(0.2, 0.2, 0.5, 0, overhang=0.6, fill=False, head_width=0.05, head_length=0.1)


plt.subplot(523)
plt.arrow(0.2, 0.2, 0.5, 0, overhang=0.4, fill=False, head_width=0.05, head_length=0.1)


plt.subplot(524)
plt.arrow(0.2, 0.2, 0.5, 0, overhang=0.2, fill=False, head_width=0.05, head_length=0.1)


plt.subplot(525)
plt.arrow(0.2, 0.2, 0.5, 0, overhang=0, fill=False, head_width=0.05, head_length=0.1)


plt.subplot(526)
plt.arrow(0.2, 0.2, 0.5, 0, overhang=-0.2, fill=False, head_width=0.05, head_length=0.1)


plt.subplot(527)
plt.arrow(0.2, 0.2, 0.5, 0, overhang=-0.4, fill=False, head_width=0.05, head_length=0.1)


plt.subplot(528)
plt.arrow(0.2, 0.2, 0.5, 0, overhang=-0.6, fill=False, head_width=0.05, head_length=0.1)


plt.subplot(529)
plt.arrow(0.2, 0.2, 0.5, 0, overhang=-0.8, fill=False, head_width=0.05, head_length=0.1)


plt.subplot(5,2,10)
plt.arrow(0.2, 0.2, 0.5, 0, overhang=-1, fill=False, head_width=0.05, head_length=0.1)
plt.suptitle(' Without Fill Head Shape using Overhang')
plt.show()



#############################################################
#############################################################

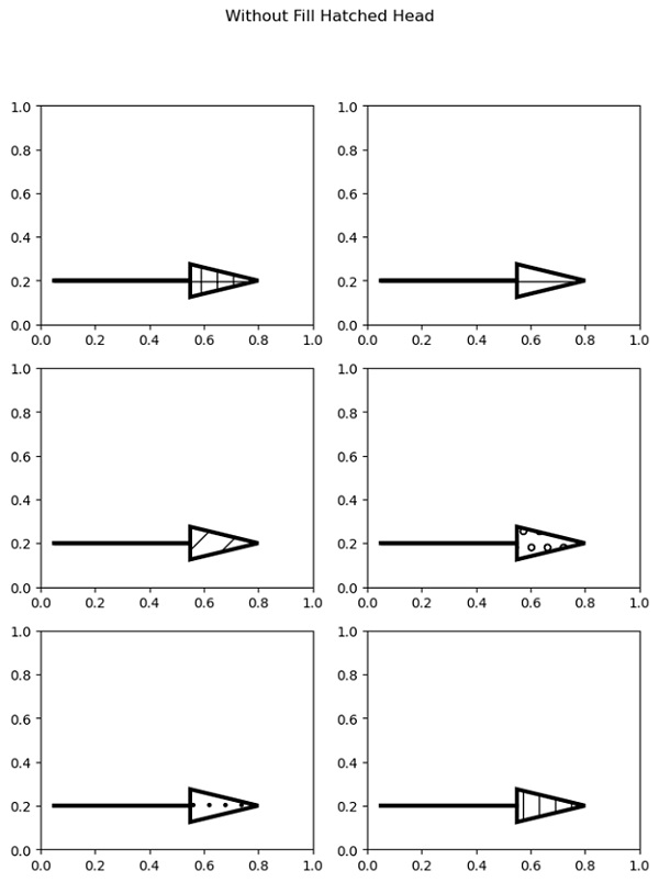
plt.figure(figsize=(8,10))
plt.subplot(321)
plt.arrow(0.05, 0.2, 0.5, 0, linewidth=3.0, hatch='+', 
          head_width=0.15, head_length=0.25, fill=False)
 
plt.subplot(322)
plt.arrow(0.05, 0.2, 0.5, 0, linewidth=3.0, hatch='-', 
          head_width=0.15, head_length=0.25, fill=False)

plt.subplot(323)
plt.arrow(0.05, 0.2, 0.5, 0, linewidth=3.0, hatch='/', 
          head_width=0.15, head_length=0.25,fill=False)

plt.subplot(324)
plt.arrow(0.05, 0.2, 0.5, 0, linewidth=3.0, hatch='o', 
          head_width=0.15, head_length=0.25, fill=False)

plt.subplot(325)
plt.arrow(0.05, 0.2, 0.5, 0, linewidth=3.0, hatch='.', 
          head_width=0.15, head_length=0.25, fill=False)

plt.subplot(326)
plt.arrow(0.05, 0.2, 0.5, 0, linewidth=3.0, hatch='|', 
          head_width=0.15, head_length=0.25, fill=False)
plt.suptitle('Without Fill Hatched Head')
plt.show()

Output:

Output is as figure
Advertisement
Advertisement


Comments and Discussions!

Load comments ↻


Advertisement
Advertisement
Advertisement

Copyright © 2025 www.includehelp.com. All rights reserved.