×

Python Tutorial

Python Basics

Python I/O

Python Operators

Python Conditions & Controls

Python Functions

Python Strings

Python Modules

Python Lists

Python OOPs

Python Arrays

Python Dictionary

Python Sets

Python Tuples

Python Exception Handling

Python NumPy

Python Pandas

Python File Handling

Python WebSocket

Python GUI Programming

Python Image Processing

Python Miscellaneous

Python Practice

Python Programs

Change the values of the diagonal of a NumPy matrix

Learn, how to change the values of the diagonal of a NumPy matrix in Python?
By Pranit Sharma Last updated : December 27, 2023

Diagonals of an array are defined as a set of those points where the row and the column coordinates are the same.

Changing the values of the matrix's diagonal

To change the values of a diagonal of a matrix, we can use numpy.diag_indices_from() to get the indices of the diagonal elements of your array. Then set the value of those indices, we can simply assign them any value we want.

Let us understand with the help of an example,

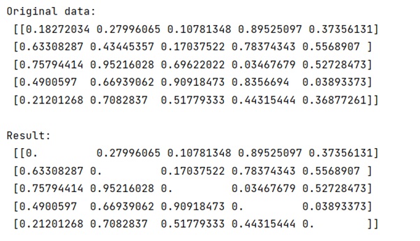
Python code to change the values of the diagonal of a NumPy matrix

# Import numpy
import numpy as np

# Creating a numpy array
arr = np.random.rand(5, 5)

# Display original data
print("Original data:\n",arr,"\n")

# Getting diagonal indices
ind = np.diag_indices_from(arr)

# Giving the diagonals some value
arr[ind] = 0

# Display result
print("Result:\n",arr,"\n")

Output

Example: Change the values of the diagonal of a NumPy matrix

In this example, we have used the following Python basic topics that you should learn:

Python NumPy Programs »

Advertisement
Advertisement

Comments and Discussions!

Load comments ↻


Advertisement
Advertisement
Advertisement

Copyright © 2025 www.includehelp.com. All rights reserved.