×

Python Tutorial

Python Basics

Python I/O

Python Operators

Python Conditions & Controls

Python Functions

Python Strings

Python Modules

Python Lists

Python OOPs

Python Arrays

Python Dictionary

Python Sets

Python Tuples

Python Exception Handling

Python NumPy

Python Pandas

Python File Handling

Python WebSocket

Python GUI Programming

Python Image Processing

Python Miscellaneous

Python Practice

Python Programs

How to Create a Covariance Matrix in Python?

Python Covariance Matrix: In this tutorial, we will learn about the covariance matrix, and how to create a covariance matrix in Python? By Shivang Yadav Last updated : September 18, 2023

What is covariance matrix in Python?

The covariance matrix is a square matrix that summarizes the covariances between multiple variables in a dataset. It provides valuable information about how different variables in a dataset vary together. Each element in the covariance matrix represents the covariance between two specific variables.

  • Positive covariance means they tend to increase or decrease together.
  • Negative covariance indicates that they move in opposite directions.

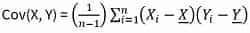
The covariance between two variables X and Y is calculated as follows:

covariance formula

Where,

  • Cov(X, Y): Covariance between variables X and Y.
  • Xi and Yi: Individual data points.
  • X and Y: Means of variables X and Y.
  • n: Number of data points.

A covariance matrix is written as a symmetric square matrix where each element represents the covariance. The diagonal elements of the matrix represent the variances of individual variables.

Covariance matrices are frequently used in statistics, data analysis, and machine learning, especially in techniques like Principal Component Analysis (PCA) and linear regression. They help in understanding how variables are related and can be used to make decisions about data dimensionality reduction, feature selection, and other data-related tasks.

Creating a Covariance Matrix in Python

To create/calculate a covariance matrix in Python, we use numpy.cov() method which estimates a covariance matrix based on the given data and weights. Also, set the parameter bias to True.

Python program to create/calculate covariance matrix

# Import NumPy module
import numpy as np

# Creating Data Set in python
score1 = [84, 90, 71, 98, 73, 94, 92, 77, 88, 45]
score2 = [58, 82, 72, 77, 75, 89, 59, 84, 77, 14]
score3 = [97, 94, 93, 95, 88, 82, 78, 84, 69, 78]

dataSet = np.array([score1, score2, score3])
print(f"The values of data set are \n{dataSet}")

# Calculation of Covariance Matrix
covMat = np.cov(dataSet, bias=True)
print(f"The values in Covariance Matrix are \n{covMat}")

Output

The output of the above program is:

The values of data set are 
[[84 90 71 98 73 94 92 77 88 45]
 [58 82 72 77 75 89 59 84 77 14]
 [97 94 93 95 88 82 78 84 69 78]]
The values in Covariance Matrix are 
[[219.36 226.86  20.94]
 [226.86 421.21  36.14]
 [ 20.94  36.14  75.56]]

Python NumPy Programs »

Advertisement
Advertisement

Comments and Discussions!

Load comments ↻


Advertisement
Advertisement
Advertisement

Copyright © 2025 www.includehelp.com. All rights reserved.