×

Python Tutorial

Python Basics

Python I/O

Python Operators

Python Conditions & Controls

Python Functions

Python Strings

Python Modules

Python Lists

Python OOPs

Python Arrays

Python Dictionary

Python Sets

Python Tuples

Python Exception Handling

Python NumPy

Python Pandas

Python File Handling

Python WebSocket

Python GUI Programming

Python Image Processing

Python Miscellaneous

Python Practice

Python Programs

How to perform Correlation Test in Python?

Python Correlation Test: In this tutorial, we will learn about the correlation test and how to perform correlation test in Python? By Shivang Yadav Last updated : September 13, 2023

We have different types of correlation by the simplest way to represent the relationship between two variables quantitatively is Pearson Correlation coefficient.

Pearson correlation coefficient

Pearson correlation coefficient, denoted as "r" or the Pearson's r, is a statistic that quantifies the linear relationship or association between two continuous variables. It measures the strength and direction of the linear relationship between the variables, ranging from -1 to 1. Here's how it works:

  • r = 1, it indicates a perfect positive linear relationship. This means that as one variable increases, the other variable increases proportionally.
  • r = -1, it indicates a perfect negative linear relationship. This means that as one variable increases, the other variable decreases proportionally.
  • r = 0, it indicates no linear relationship between the variables. They are not correlated in a linear fashion, but there may still be other types of relationships or associations.

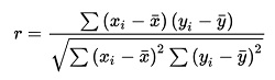
The formula for calculating the Pearson correlation coefficient (r) between two variables, X and Y, with n data points, is:

pearson correlation coefficient formula

Where,

  • Xi and Yi are the individual data points.
  • X and Y are the means (averages) of X and Y.

Perform correlation test

Python also provides a function to perform the test. The scipy library contains pearsonr() functions that return two values, the pearson correlation coefficient and p-value.

Syntax

scipy.stats.pearsonr(x, y)

Python program to perform correlation test

import numpy as nump
import scipy.stats as scstats

# Creating the numpy arrays
dataset1 = nump.array([3, 4, 4, 5, 7, 8, 10, 12, 13, 15])
dataset2 = nump.array([2, 4, 4, 5, 4, 7, 8, 19, 14, 10])

print(f"The values in dataset1 is \n{dataset1}")
print(f"The values in dataset2 is \n{dataset2}")

# Calculation of pearson correlation coefficient
pearCoeff = scstats.stats.pearsonr(dataset1, dataset2)

print(f"Pearson correlation coefficient is\n{pearCoeff}")

Output:

The values in dataset1 is 
[ 3  4  4  5  7  8 10 12 13 15]
The values in dataset2 is 
[ 2  4  4  5  4  7  8 19 14 10]
Pearson correlation coefficient is
PearsonRResult(statistic=0.8076177030748631, pvalue=0.004717255828132089)

Python SciPy Programs »

Advertisement
Advertisement

Comments and Discussions!

Load comments ↻


Advertisement
Advertisement
Advertisement

Copyright © 2025 www.includehelp.com. All rights reserved.